Contactgegevens Contactgegevens
Terug naar boven Terug naar boven

'Lotte 811'

K2 BE18-4172811
BE18-4172811 “'Lotte 811'”

Original Frankie De Gendt, Temse
Incredible foundation hen, winner of :
   17 x 1st prize (no doubles)
   47 x top 10 position (no doubles)
   7. Nat. Ace Pigeon SD OB KBDB '24
   7. Prov. Ace Pigeon SD OB KBDB '20
   11. Nat. Ace Pigeon SD OB KBDB '20
   Gold Ring Winner GRW  2019 - '22 - '24
   Silver Ring Winner GRW 2020
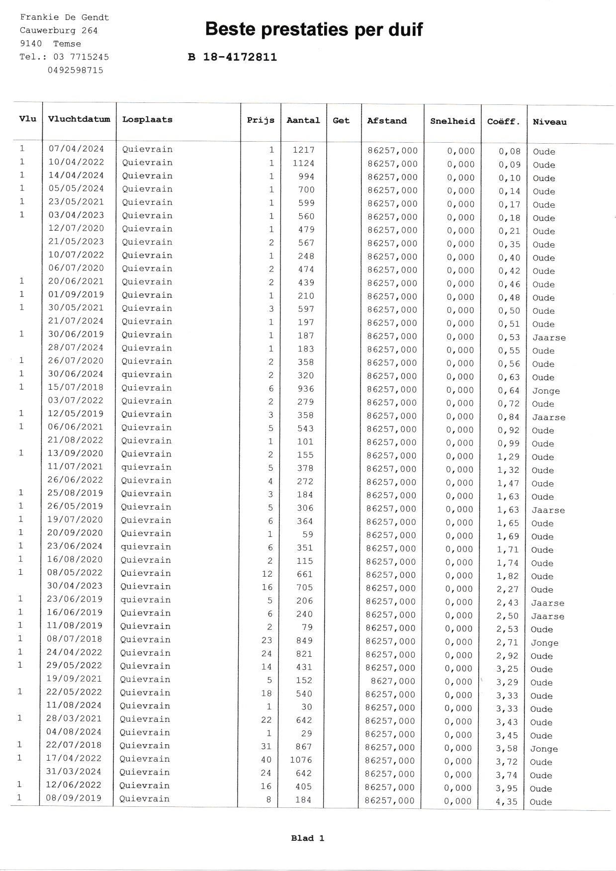
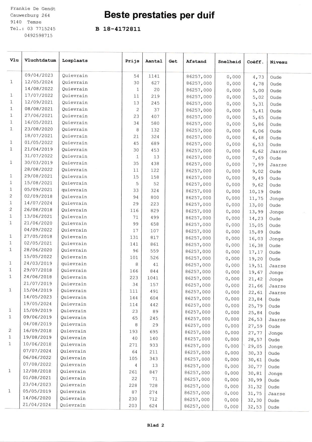
   1. Quievrain - 1.217 b.
   1. Quievrain - 1.124 b.
   1. Quievrain - 994 b.
   1. Quievrain - 700 b.
   1. Quievrain - 599 b.
   1. Quievrain - 560 b.
Grandmother of 
BE24-4171441 'National Wout', winnner of
   3. Nat. Ace Pigeon SD YB KBDB '24
   2. Prov. Ace Pigeon SD YB KBDB '24

(Grand)mother of many first prizes and
topracers.


BE18-4172811 'Lotte 811'

Original Frankie De Gendt, Temse
Incredible foundation hen, winner of :
   17 x 1st prize (no doubles)
   47 x top 10 position (no doubles)
   7. Nat. Ace Pigeon SD OB KBDB '24
   7. Prov. Ace Pigeon SD OB KBDB '20
   11. Nat. Ace Pigeon SD OB KBDB '20
   Gold Ring Winner GRW  2019 - '22 - '24
   Silver Ring Winner GRW 2020
   1. Quievrain - 1.217 b.
   1. Quievrain - 1.124 b.
   1. Quievrain - 994 b.
   1. Quievrain - 700 b.
   1. Quievrain - 599 b.
   1. Quievrain - 560 b.
Grandmother of 
BE24-4171441 'National Wout', winnner of :
   3. Nat. Ace Pigeon SD YB KBDB '24
   2. Prov. Ace Pigeon SD YB KBDB '24

(Grand)mother of many first prizes and
topracers.

Vader: BE17-4090727 'Rocket 727'

Winner of :
   2. Quievrain - 577 b.
   4. Quievrain - 286 b.
   6. Quievrain - 273 b.
   8. Quievrain - 350 b.
   61. Quievrain - 1.343 b.
Father of BE18-4172811 'Lotte 811'
Incredible foundation hen, winner of :
   17 x 1st prize (no doubles)
   47 x top 10 position (no doubles)
   7. Nat. Ace Pigeon SD OB KBDB '24
   7. Prov. Ace Pigeon SD OB KBDB '20
   11. Nat. Ace Pigeon SD OB KBDB '20
   Gold Ring Winner GRW  2019 - '22 - '24
   Silver Ring Winner GRW 2020

Grootvader: BE13-4107932 'Blauwe 932'

Winner of :
   1. Quievrain - 519 b.
   2. Quievrain - 527 b.
   3. Quievrain - 132 b.
   4. Quievrain - 254 b.
   6. Quievrain - 308 b.
Father of BE15-819, winner of :
   1. Quievrain - 658 b.
   1. Quievrain - 301 b.
   1. Quievrain - 127 b.
​Grandfather of :
BE18-4172811 'Lotte 811'
Incredible foundation hen, winner of :
   17 x 1st prize (no doubles)
   47 x top 10 position (no doubles)
   7. Nat. Ace Pigeon SD OB KBDB '24
   7. Prov. Ace Pigeon SD OB KBDB '20
   11. Nat. Ace Pigeon SD OB KBDB '20
   Gold Ring Winner GRW  2019 - '22 - '24
   Silver Ring Winner GRW 2020
BE16-4017612 'Fast 612', winner of :
   14 x 1st prize
   12. Nat. Ace Pigeon SD OB KBDB '20
   7. Prov. Ace Pigeon SD OB KBDB '20
   Bingo Winner GRW 2017
   Silver Ring Winner GRW 2018
​   Silver Ring Winner GRW 2019
​   Bronze Ring Winner GRW 2020

Grootmoeder: BE16-6212305 'Blauw Aerts'

Original Jan Aerts
Grandmother of
BE18-4172811 'Lotte 811'
Incredible foundation hen, winner of :
   17 x 1st prize (no doubles)
   47 x top 10 position (no doubles)
   7. Nat. Ace Pigeon SD OB KBDB '24
   7. Prov. Ace Pigeon SD OB KBDB '20
   11. Nat. Ace Pigeon SD OB KBDB '20
   Gold Ring Winner GRW  2019 - '22 - '24
   Silver Ring Winner GRW 2020

Moeder: BE17-4090733 'Mother Lotte 811'

Mother of :
BE18-4172811 'Lotte 811'
Incredible foundation hen, winner of :
   17 x 1st prize (no doubles)
   47 x top 10 position (no doubles)
   7. Nat. Ace Pigeon SD OB KBDB '24
   7. Prov. Ace Pigeon SD OB KBDB '20
   11. Nat. Ace Pigeon SD OB KBDB '20
   Gold Ring Winner GRW  2019 - '22 - '24
   Silver Ring Winner GRW 2020
Full sister of BE17-716, winner of :
   16 x 1st prize
   5. Nat. Ace Pigeon SD OB KBDB '20
   2. Prov. Ace Pigeon SD OB KBDB '20
   Gold Ring Winner GRW 2020
   Silver Ring Winner GRW 2021

Grootvader: BE16-4017625 'Blauwe 625'

Father of BE17-716, winner of :
   16 x 1st prize
   5. Nat. Ace Pigeon SD OB KBDB '20
   2. Prov. Ace Pigeon SD OB KBDB '20
   Gold Ring Winner GRW 2020
   Silver Ring Winner GRW 2021
Grandfather of :
BE18-4172811 'Lotte 811'
Incredible foundation hen, winner of :
   17 x 1st prize (no doubles)
   47 x top 10 position (no doubles)
   7. Nat. Ace Pigeon SD OB KBDB '24
   7. Prov. Ace Pigeon SD OB KBDB '20
   11. Nat. Ace Pigeon SD OB KBDB '20
   Gold Ring Winner GRW  2019 - '22 - '24
   Silver Ring Winner GRW 2020

Grootmoeder: BE16-4017612 'Fast 612'

Winner of :
   14 x 1st prize
   12. Nat. Ace Pigeon SD OB KBDB '20
   7. Prov. Ace Pigeon SD OB KBDB '20
   Bingo Winner GRW 2017
   Silver Ring Winner GRW 2018
​   Silver Ring Winner GRW 2019
​   Bronze Ring Winner GRW 2020
Mother of BE17-716, winner of :
   16 x 1st prize
   5. Nat. Ace Pigeon SD OB KBDB '20
   2. Prov. Ace Pigeon SD OB KBDB '20
   Gold Ring Winner GRW 2020
   Silver Ring Winner GRW 2021
Grandmother of :
BE18-4172811 'Lotte 811'
Incredible foundation hen, winner of :
   17 x 1st prize (no doubles)
   47 x top 10 position (no doubles)
   7. Nat. Ace Pigeon SD OB KBDB '24
   7. Prov. Ace Pigeon SD OB KBDB '20
   11. Nat. Ace Pigeon SD OB KBDB '20
   Gold Ring Winner GRW  2019 - '22 - '24
   Silver Ring Winner GRW 2020

Verbinding verloren, laad de pagina opnieuw a.u.b.!

Klik hier om opnieuw te laden